2013年4月份70個大中城市住宅銷售價格變動情況
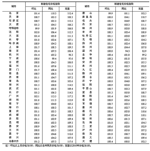
一、新建商品住宅(不含保障性住房)價格變動情況(詳見附表2)
(一)與上月相比,70個大中城市中,價格下降的城市有2個,持平的城市有1個,上漲的城市有67個。環比價格上漲的城市中,最高漲幅為2.1%。
(二)與去年同月相比,70個大中城市中,價格下降的城市有2個,上漲的城市有68個。4月份,同比價格上漲的城市中,最高漲幅為13.7%,漲幅比3月份回落的城市有1個。
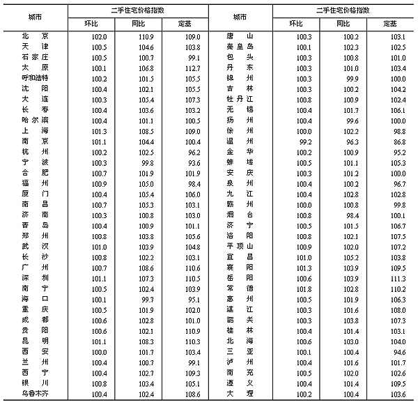
二、二手住宅價格變動情況
(一)與上月相比,70個大中城市中,價格下降的城市有1個,持平的城市有3個,上漲的城市有66個。環比價格上漲的城市中,最高漲幅為2.0%。
(二)與去年同月相比,70個大中城市中,價格下降的城市有6個,上漲的城市有64個。4月份,同比價格上漲的城市中,最高漲幅為10.9%,漲幅比3月份回落的城市有1個。
表1:2013年4月70個大中城市新建住宅價格指數

表2:2013年4月70個大中城市新建商品住宅價格指數

表3:2013年4月70個大中城市二手住宅價格指數

表4:2013年4月70個大中城市新建商品住宅分類價格指數

表5:2013年4月70個大中城市二手住宅分類價格指數

附注:
1、現行《住宅銷售價格統計調查方案》自2011年1月起開始實施。
2、調查范圍。住宅銷售價格的調查范圍為70個大中城市的市轄區,不包括縣。
3、調查方法。70個大中城市的新建住宅銷售價格、面積、金額等資料直接采用當地房地產管理部門的網簽數據。二手住宅銷售價格調查為非全面調查,采用重點調查和典型調查相結合的方法,按照房地產經紀機構上報、房地產管理部門提供與調查員實地采價相結合的方式收集基礎數據。
4、新建住宅含保障性住房;新建商品住宅不含保障性住房。
5、價格指數的計算方法詳見中國統計信息網《住宅銷售價格統計調查方案》。
6、表格中“——”表示本月無成交記錄。